空气压缩机节能技术要点分析
一、压缩空气系统节能的背景与意义
【买空压机网】1.低碳零碳大背景
当前,全球生态环境破坏严重,气候变暖、重大地质事件频频爆发;碳排放量持续增长,导致城市热岛效应、温室效应,原有生产结构遭遇全球性挑战。而能源短缺、分布不平衡,促使以煤炭为主的能源结构需加快转型。
基于大国责任担当,我国印发了《“十四五”现代能源体系规划》,提出碳达峰、碳中和“双碳”目标。党的十八大以来,我国加快构建清洁低碳、安全高效的能源体系,加快能源结构调整优化,推动能源结构从高碳向低碳转变,深入推进能源变革。
工业领域的能源消费量占全国总体消费量65%左右,是节能降碳的主要领域之一,也是实现“双碳”目标的重要领域。其中,压缩空气作为仅次于电力的第二大动力能源,也是具有多种用途的工艺气源,具有输送储存方便、来源丰富、透明无污染等特点,是工业生产过程中不可缺少的重要组成部分。故压缩空气是实现气动节能的研究热点之一。


2.压缩空气系统节能改造
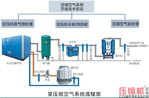
压缩空气系统通常包含空压机、储气罐、过滤器、干燥器等重要部件。针对压缩空气系统的节能改造,可以是压缩机主机,也可以是控制系统以及干燥工艺,还可以是过滤器、输送和使用环节等。

本文主要探讨三个方面的节能技术:一是空压机的吸气预处理,二是空压机的冷却和热回收,三是压缩空气的后处理。

二、空压机吸气预处理
1.空压机吸气预处理的核心思路
空压机吸气预处理主要针对夏季高温、高湿环境。环境吸气温度高了必然造成能耗增加、效率降低、排气温度升高等一系列影响。空压机吸气温度过高还会导致故障频发。另外,现在高用电能耗与紧张的电力资源、昂贵的用电成本之间的矛盾十分严重。而研究表明,空压机的吸气温度对能耗有显著影响,每降低1℃,能耗可降低0.65%。因此,尤其在夏季高温地区,研究空压机吸气预处理对于节能具有重要意义。
所谓的吸气预处理就是降温减湿,那到底要不要去减湿?降温降到什么程度?我们做一些理论分析。假设环境空气压力为100kPa,温度为38℃,含湿量为21.75g/kg,等熵效率为0.72,制冷设备COP为3.4。


由上图可见,随着吸气温度从38℃降低至18℃,含湿量从21.75g/kg降低至17.75g/kg时,比功率从6.98kW/(m3·min-1)降低至6.27kW/(m3·min-1)。
从压缩机进气温度和湿度对能耗的影响角度看,温度对比功率的影响大于含湿量,吸气预处理以降温为主要目的,除湿代价太大。因为放热器的表面温度低于供电温度以后,一旦出现水分凝结造成的潜热量非常大,也就说给制冷的等负荷要增加很多。所以吸气预处理的核心思路是主降温不控湿,降低湿度的收益非常薄弱,这与常规空调产品直接拿来用有区别。空调可调节温度相对低一点,这意味着冷源温度要高一些。比如研究表明,利用空调降温,环境温度从35℃降到28、29℃很容易,但是不建议降到26℃以下。


2.传统冷源供应的吸气预处理不足
目前空压机吸气预处理研究不足之处:
(1)传统冷源供应方式能耗高、成本高,控制精度低;
(2)预处理设备能耗地域差异性大,控制目标不明确;
(3)缺乏吸气预处理设备设计或选型的理论支撑;
(4)评价指标或评价方法不完善,尚未产品化。
3.不同冷源供应的吸气预处理方案对比
3.1节能性分析

蒸汽压缩制冷吸气预处理方案可直接采用市面上的空调机组作为吸气预处理设备。由于空调机组制冷能力有限,因此仅适用于冷负荷需求较小的场合。

相比于市面上的空调机组,冷水机组能够提供更大的冷量和更高的制冷效率,同时运行效果更稳定可靠,但同时增加了循环水管路,因此增加了系统的管理和维护难度,系统相对复杂。

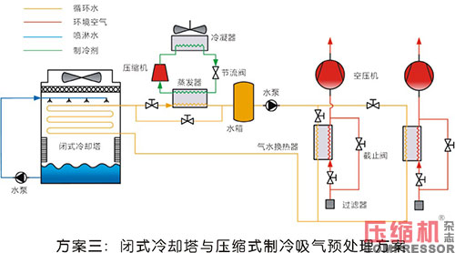
该方案可通过调节进入气水换热器的流量及温度控制吸气温度,通过闭式冷却塔对循环水预冷,降低了吸气预处理设备的额外能耗,但冷却塔的制冷效果受环境空气参数影响。增加闭式冷却塔和循环水管路等设备会增加设备的成本和复杂程度。


选取气候条件差异比较大的南京和乌鲁木齐进行对比。进行吸气预处理后,压缩空气比功率明显降低,在南京气候下最大幅度达到2.32%,在乌鲁木齐气候下最大幅度达到2.58%。由此可以发现,不同方案差异较小,干燥地区采用蒸发冷却的优势较为明显。
3.2经济性分析
在南京和乌鲁木齐气候下,方案三投资回收期均为最短,分别为23.1个月和15.3个月,采用冷却塔预冷后可以有效提高系统经济效益。

由此可见,如果一年365天用气,投资回收期会很短;如果只在夏天用,那么单独配置一个冷源,由于使用率低会导致投资回收期比较长。方案三组合式吸气预处理方案在小气量的时候,特别是60、80立方以下不太适合,方案一蒸汽压缩制冷吸气预处理方案更可行。组合式方案特别适用于大气量空压站,效率更高。整体来看,它的投资回收期一般不会低于10个月。
由此,后来产生的一种思路就是不单独配置冷源。很多厂房可能有空调,可以把空调用冷源引过来用,但是这也存在应用的极限性。于是又产生了新的思路:给冷干机多加一个蒸发器,相当于给空压机组配了一个小的空调,只不过空气进入压缩机之前先经过蒸发器,把空气空气冷却一下。

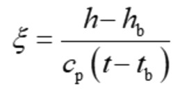
第一蒸发器为翅管式结构,当表面温度低于空气露点温度时,析出冷凝水并在蒸发器表面形成水膜不利于换热。由析湿系数可算得压缩空气经过吸气预处理之后的水蒸气凝结量,根据分析确定吸气温度。

空气压缩过程实际能耗:

析湿系数:

第一蒸发器热负荷:
4.1评价方法
设定环境温度在30℃以上开启吸气预处理系统;空压机吸气量在45~55m3/min,排气压力0.8MPa;冷却至26℃进入压缩机;蒸发温度随吸气温度变化,空气-制冷剂温差取10℃。

(1)性能评价指标——比功率
空压机比功率:

(2)节能评价指标——节能百分比(PPS)
节省的压缩功率:

吸气预处理额外能耗:

节能百分比:

系统节省的电量及电费:

按照上述参数估算,环境温度高于30℃开始运行,控制在26℃,系统一年节约电量5747.85度,节约电费4598.28元,很快就能把投资回收回来。下一步就是怎样落实到产品上做结构设计等等。
三、空压机冷却/热回收

1.空压机压缩过程喷液冷却
空压机主机节能的一个重要途径就是压缩过程喷液冷却,喷液有三个目的:冷却、密封、降噪。其实密封的核心就是能效提升,冷却就是改善温度控制。喷油机就是工作过程喷油,无油机可以考虑喷水。
不同厂家的喷液设置方法有多种多样,本文列出3种。第一种是从吸气腔中喷液,第二种是从两个转子腔开多个孔喷,还有一种是在转子交线处喷液


目前,市面上的喷液方式多种多样,但是喷液位置对最终效果的影响,目前还没有很细致的实验对比。
从理论角度分析,转速越高,喷液和气的冷却时间越短,那就要对气体的雾化提升,这又导致密封变差。所以针对多个孔的,就要进行功能区分,比如大孔主密封,小孔主雾化。区分控制,效果会好一些。
2.空压机热回收

空压机热回收主要涉及油热和气体热两方面。我们曾进行封闭式试验,尝试直接蒸发回收热量,类似于加热水散蒸方式。但我们的核心设计是采用换热器直接蒸发回收热量。此外,笔者还设计了一种以水为工作介质的半开式系统,具有接触式传热特性,可实现零排放。在这个系统中,一级压缩后的气体和部分热量进入二级压缩机进行进一步压缩和供能。同时,该系统不仅可以控制蒸汽的产生,还可以直接产生热水。
从绿色工业生产的角度来看,我们行业面临的主要挑战之一是油污排放和污水处理问题。针对这些问题,一些热量可以用于空气的蒸湿除湿过程,这被称为HDH。与传统的放热器相比,HDH对放热器的腐蚀要求较低,因为它主要利用空气加热来蒸发污水中的水分。
在这个过程中,水分从污水中蒸发到空气中,使空气的湿度增加。随后,通过冷却方法,这些水分可以在较低的温度下凝结下来,从而实现污水处理的目的。这种方法不仅有助于减少油污排放,还可以提高空气质量,是一种绿色、高效的解决方案。
四、压缩空气后处理
后处理其实包括两个方面,一个是过滤,还有一个是干燥。过滤器除油,干燥器除水。现在干燥机厂商很多,有吸附式、冷冻式,还有组合式的,其核心就是:满足压力露点要求的前提下,降低能耗、减小压损;减少设备投资成本以及维护成本。



现在空压机变频了,干燥机很多也是变频的,所以整个空气系统都是变频的。在现实应用中,我们的产品本身是节能的,但是用户没有合理的利用,这就可能导致不节能。所以科学的综合控制很重要。另外,降低冷干机里发热器的压力损失也是一个核心问题。
对于吸附式干燥机,吸附剂的选择至关重要。在空调系统中,也常用到吸附干燥转轮。然而,吸附剂通常以雾状存在,其性能和质量可能因生产批次和工艺的不同而有所差异。为了准确标定和测量吸附剂的性能,我们需要采用科学的方法和技术。
随着科技的进步,我们还需要根据对压力分辨率的具体要求,合理选择和设置新技术。在吸附式干燥机的再生方法研究和干燥器结构设计方面,也有许多工作需要做。
此外,组合式干燥器是另一种值得关注的技术。它结合了冷干燥和吸附干燥的优点,核心问题在于热回收的基本理论和应用。笔者最近在浙江的一家企业,就参与了一个组合式干燥器的项目,用于桥梁空气的干燥和防腐。
在压缩机行业中,目前主要采用的是静态系统措施。相比之下,转轮作为动态系统措施,虽然具有其独特优势,但也面临着密封等挑战。因此,我们正在尝试将转轮技术应用于低压鼓风领域,探索如何有效地结合冷热和转轮技术。我们的团队目前正在进行相关的结构设计和生产准备工作,并计划进行调试。
同时,笔者也在思考如何将在其他行业接触到的技术和经验与压缩机行业相结合。由于转轮具有模块化设计的特点,我们可以单独更换转轮部分,这能大大提高使用的便利性。相信通过不断的探索和创新,我们可以为压缩机行业带来更多的技术进步和解决方案。
作者简介
沈九兵,江苏镇江人,毕业于西安交通大学,现就职于江苏科技大学能源与动力工程学院人工环境系,主要从事压缩机方向研究。
以上为正文!
买空压机网部分新闻素材来源于各大品牌公众号和压缩机网(www.compressor.cn).
压缩机网作为行业内最早的平台型网站.一直为空压机行业的发展而努力.
在此致以敬意. 希望有机会能一起合作.为用户提供最优质的行业资讯.