级差式全无油中压机热力计算分析<上>
1.序言
【买空压机网】压缩机的热力计算非常重要,然而却很少看到有人愿意系统地公开发表他们的理论计算。到目前为止笔者从事压缩机研究已近三十年整,就自身所了解到的压缩机计算方面的情况来讲:上世纪八十年代本单位存档有纸质版手工誊写的某种机型的热力计算书;到了2000年后,由于计算机的普及,一些人开始利用计算机语言诸如EXCEL程序编辑计算出某种压缩机的热力计算,这当时对笔者的思维触发很大。可是他们所编辑的表格程序或多或少都有些问题,又犹抱琵琶半遮面似的不愿意公开讨论这个问题。他们所做工作或许是没有研究深透压缩机的相关理论,导致所设计的表格数字不那么严密。最近二十年来,社会上存在许多私人机构编辑各种压缩机的各项计算程序服务于所需要的人,不知他们的程序经得起推敲否?
当下中国压缩机事业的发展如日中天,全民创业的热潮让人蠢蠢欲动。可是可能还有些人不知道有压缩机的热、动力计算,他们依瓢画葫芦般地测绘出压缩机的各项零件图纸,精心加工出各种零件,精致地装配组装出压缩机,经试验后也能生产出合格能用的压缩机。可是若某些部件需要替代设计,或者根据需求要派生出其它变型产品时,问题就来了。
下面以一种全无油润滑中压空气压缩机VW-1.25/40-Q为例,系统地阐述各项参数和它们之间的联系,与同行分享、交流,推动中国压缩机事业的发展与提高。
2.热力计算表格
文中表格里机器结构框架是:单曲拐V型角度式往复压缩机,级差式,风冷结构;能实现1.25m3/min排量,排气压力4MPa,3级压缩,全无油润滑。若规定从曲轴动力输出端方向作为正面视图方向,其正剖面视图右侧为Ⅰ-Ⅲ级气缸活塞部件,活塞直径为Φ140-Φ45,单作用式,它靠近曲轴动力输出端;左侧为Ⅰ-Ⅱ级气缸活塞部件,活塞直径为Φ140-Φ90,单作用式,它靠近曲轴动力输入端;其它的一些参数具体见表格1图。表格1图为全局图,显示较小,表格2、3图为表格1图的分图,显示较大。

该表格的设计是作者一贯的格式,清晰明了,逻辑性强。该表格在EXCEL程序上可以分为5节,第1节:初定各级压力和压力比,以及多次复算压力;第2节:计算进气、泄漏、析水系数和排气温度估算;第3节:确定缸径和各级最终压力;第4节:确定实际压力比、温度、功率和活塞力,各种效率计算的准备;第5节:综合。这是最主要的结构,然而为充分利用表格空间,在表格的其它位置作出小范围小参数的计算,诸如析水系数的计算,一级气缸直径计算,泄漏系数的计算,余隙容积系数的计算等。
请注意,表格中所有数字基本上采用SⅠ国际单位制。每节数字的表头所代表的参数名称与代号忽略,用于区分不同区域研究的人,也适合于对该表格有兴趣并且愿意详细推敲的人。最重要的是,表格中涂色的数字框都是手工输入的,不涂色框内的数字是经过公式计算出来的,该公式在后面的分述中详细地给出。至于为什么是该数字,最基本的依据是《容积式压缩机技术手册》[4]。
2.1初定各级压力和压力比,以及多次复算
文中表格的开始位置遵循EXCEL程序的初始位置,看懂这张表格首先要精通EXCEL程序编程,本文不涉及EXCEL公式函数的内容,但普通的公式会正确地给出。依前述,采用三级压缩,首尾的绝对压力为1bar、41bar,若采用等压比分布则等压比ε为

其中:Pd—排气绝对压力,bar
Ps—进气绝对压力,bar
表格中1.044、0.999是手工输入的,分别为一、二级经多次复算后最后的修正的压力比系数

上三式的下标代表其级数,后面的某些公式代号的下标用i代表该级数,i取1或者2或者3。至于为什么这样修正,涉及到下面的数字之间的天然联系。至少代表着实际压缩机运行参数的一种存在,至于是不是最终合理还有待实践进一步检验。若不行,可以对该1.044、0.999进行再修正,它至少提供了一种框架,修正起来非常方便。表格2图是该全无油中压机热力计算主要部分所显示的分图,下面所进行的相关计算的结果都显示在其中。

2.2计算进气、泄漏、析水系数和排气温度估算
第2、3、4节,每节都由三行组成,代表着三级压缩状况下的计算。对第2节运用到相关公式有:

其中:λv—容积系数[1],无量纲,每一级都有一个对应该级的容积系数
α—相对余隙容积
ε—经复算后的压力比
m—膨胀指数[1],具体的选值参照参考文献1
Z1、Z3—空气可压缩性气体常数,本表格对第3级压缩部分已引入了该参数参与计算。字母中的下标数字代表每一级p-V指示图气体的状态,不代表级数,可以认为它们分别代表该级的吸、排气状态下气体常数。

其中:λs—进气系数,无量纲
λp—压力系数[1],具体的选值参照参考文献1
λt—温度系数[1],具体的选值参照参考文献1。

其中:λd—排气系数
λl—泄漏系数
λφ—析水系数
λc—净化系数[1]。

其中:Td—各级名义排气温度,K
Ts—各级名义吸气温度,K
ε—经复算后的名义压力比
n—多方压缩过程指数
2.2.1各级容积系数的求证
具体参考表格2图、3图和图1、图2。相对余隙容积α是余隙容积V0与行程容积Vh之比值。即:

其中:D—气缸直径,m
S—活塞行程,m
探究各级压缩机的余隙容积V0值是一个至关重要的问题,决不能以上止点间隙值除以行程所得的值来计算容积系数。由于用钢铁类的固体跳过液体相来压缩气体,而气体相对于流体来说更是无孔不入的。什么是余隙容积呢?就是在上止点状态下,气缸与活塞之间还有多少空间来容纳这些无法排出的气体空间体积。对于这种单作用级差式结构,一级进排气阀各自独立且成90°布置,二、三级组合平面布置。二级属于组合阀,内进外出,该气阀中心是网状阀而外周为环状阀;三级属于舌簧阀[3]布置,下面为悬臂梁式舌簧吸气阀,而上面一半的位置属于排气腔,其内设置一字型舌簧排气阀。它们的余隙容积都包含有线性间隙,即活塞的工作面与固定的气缸顶面或者阀板下平面之间的距离,还包括各自的到第一道活塞环处的环形空间。设置有环形空间也是防止到上止点时,避免由于各种原因使活塞倾斜运动导致活塞顶端与气缸圆镜面之间碰撞。其空间设计相当考究,气缸直径越小,环形间隙与深度也越小,并且有油与无油也各不相同。另外,对于本例的一级排气阀附近有一块意想不到的容积,即排出腔通道处呈圆-圆锥处宝塔状的容积。凡是不能排出的残留空间都要算到余隙容积中,要适当的计算与估算,保证与实际相符合。这里涉及到各种形状的空间体积的计算,由于非常简单此处不罗列展示具体的计算公式,仅在图1、图2处用①②等代表区域,具体的计算部分内容也可以参考表格3图。注意,对于舌簧阀结构,严格说来余隙容积还应扣除吸气阀片的体积,另外加上阀板上所有腰型槽排出通道的容积。

容积系数λv还是膨胀指数m与名义压力比ε的函数。对于膨胀指数,教材上一般都依压缩过程指数n的值和进气压力作出相应的线性规定,但从压缩机实际的余隙容积V0内气体膨胀特性来说,膨胀指数仅取决于那一块气体区域形成的温度梯度场状况。凡是热交换愈烈时m值愈小,若不进行热交换则m值趋于绝热指数k,即1.40。α值一定时m值愈大代表膨胀指数线愈陡直,则相应地吸入新鲜的空气的机会越多,代表着λv值越大。ε值初步计算时应是名义的等压力比,就是3.45,当最终所有的计算程序值相吻合后,ε应该代表着该压力分布状态下的最终压力比,但绝不是包含有气阀等管道阻力损失时的相对压力损失δs、δd函数在内的实际压力比ε′。有人曾在热力计算的这些数字找不着北儿的时候,悄悄地混淆了这个概念!错误的根源是:事先承认每级压力分布是连续的,但依次计算做不出合适的λv值、合适的气缸直径等,最后又幻想通过改变ε值来做出合适的λv值,殊不知已破坏了自己最初的约定,所以是错误的。但可以通过改变m、α值来寻求合适的λv值。笔者认为,δs、δd的设置,仅是从理论上框定出实际时的排气温度、实际时的指示功率,通过这一模型使计算结果符合实际,达到计算的效用价值。本例对膨胀指数没有按教材上要求的线性公式来定,而是人为手工植入,也相差不大,这是允许的。


2.2.2各级泄漏系数[1]的求证
具体参考表格3图。据笔者所了解,泄漏系数的求证是当下所进行热力计算中最难懂的。搞不懂这个道理,所进行的热力计算都是徒劳的,都是在浑水摸鱼。所计算出来的结果一点用处都没有,根本不能指导压缩机下一步待改进的地方。所以,泄漏系数的计算非常重要。简单地说,泄漏系数与压缩机的结构息息相关,例如所有单作用式的压缩机,由于泄漏系数的局限,会导致高压机的排气量不能有效地提高,但这种结构制造简单;而稍微复杂些的结构例如级差式、双作用式机器等,利用结构稍复杂的特点导致高压级没有地方直接向外面泄漏,从而可以让低压级的泄漏系数取高些,容易获得高一点的排气量。不管如何,所有正确计算泄漏系数的做法,都要在一串数字的后方形成一个类似于线代中的上三角矩阵,而其前面气阀的数字则呈主对角线布置的矩阵,否则都是不对的。以前笔者的粗略做法是,通常的二级压缩机,每级的泄漏系数近似地取作0.9~0.95,当时不明白这与结构相关的道理。对课本上关于泄漏系数的一段话生吞活剥地理解,现在终于咬文嚼字似得懂得了一些道理。记得2004年重庆气体压缩机厂首次开发出W-6/400型空气压缩机,其设计的热力计算书上写到:1~5级压缩其泄漏系数依次取作0.92、0.93、0.94、0.95、0.96,这也是粗略地做法,不能解决问题,但其至少有一定合理性。一般说来,泄漏系数遵循首级泄漏系数较小而末级则较大。就凭这一点,可以一眼看出哪些人作热力计算时在浑水摸鱼!
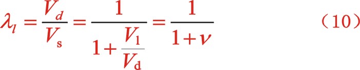
言归正传,压缩机泄漏系数是每一级排出气体量Vd与吸入气体量Vs之比值,用λι表示,Vι表示该级用于补偿泄漏的容积,则


其中:ν—任意一级总的相对泄漏量,无量纲
Σ—求和符号
i—一般代表三个部位,即气阀、活塞环、填函,本例无填函。
一般说来,气阀的相对泄漏量νv=0.01~0.04,单作用式活塞环的相对泄漏量νh=0.01~0.05这在表格3图上已标记出。这是教材上的理论,实际对于该种全无油中压机依据实测结果来说会有所差异。本例由于结构上一级吸排气阀组有两处,二、三级气阀组各有一处,均采用气阀的相对泄漏量值为0.04。注意到一级气阀的泄漏属于外泄漏,二、三级的则为内泄漏,它们在作计算排列时均呈主对角线分布;活塞环处的泄漏量计算过程令人头疼,困扰笔者的是明明有一级活塞部位挡着,为何就成了外泄漏,让一级的泄漏系数较低呢?如若不低根本就没有那么高的排气量,所以气体还是漏掉了。最后想出这样一个也能讲得通的理由:让二、三级的单作用式活塞环相对泄漏量的50%、40%加到一级活塞环上,形成一个类似的上三角矩阵。认为二级活塞环往复运动过程中会造成有50%的泄漏气体通过其下部的一级往复运动的活塞环漏到大气中,同样三级有40%通过一级漏入曲轴箱中,这样形成了一种稳态平衡。具体计算结果请看图。另外,外泄漏直接决定排气量,内泄漏对排气量影响不敏感但影响级间压力分布和级的排气温度分布。
2.2.3各级析水系数[1]的求证
先上公式:

其中:p1—1级吸气绝对压力,Pa。公式中p1在EXCEL程序中运用到绝对引用的概念
pi—i级吸气绝对压力,Pa。pi一般用等压比并且圆整后参与计算较方便
Φ1—相对湿度,例如本例中Φ1=60%,为一个初始给定的值
ps1—水蒸气在1级吸气温度下的饱和蒸气压,Pa
psj—水蒸气在j级状态下回冷到进气口温度下的饱和蒸气压,Pa
Φ2—有无水分析出的相对湿度,本例中Φ2=0.81代表着没有水分析出就用该数参与计算,而Φ3>1则取1代入计算。
具体计算结果参见表格2图。
至此对第2节所进行的相关计算也参见表格2图主要部分的第二段,其中需要说明的是,进气温度按照27℃,相对湿度60%,回冷不完善度16℃所进行的计算,它一般应尽量满足压缩机实际运行时最大多数存在的状况。依次得出的各级排气系数λd值为0.621、0.666、0.779。
2.3确定缸径和各级最终压力
第2节计算是压缩机各分部分的基础数据,那么本节的计算呈现出的就是压缩机总体结构设计的轮廓数据,涉及到已知的排气量数据和需要实现的转速、行程、气缸直径的大小、冷却器的设计等数据,更包括活塞运动系统的总体结构。另外,由于国家对活塞直径和行程数据实行标准化管理,活塞直径数据呈间断化,因此会造成因活塞直径的圆整导致级间压力的变化调整。由于文章幅面的限制,也因笔者在完稿前花费了许多时间对复算压力系数进行了多方面研究,文章显示出调整范围不大。有兴趣的读者可以保持事先给定的相对余隙容积值来研究该问题,这样才能有所提高。下面给出压缩机领域一个著名的、放之四海而皆准的级行程容积公式:

其中:Vhj—j级行程容积,m3。该公式的原理可以参见参考文献1
Q0—排气量,m3/min
p1—1级吸气绝对压力,bar。同样应注意到EXCEL程序中用到绝对引用的概念
pj—j级吸气绝对压力,bar
Tj—j级吸气温度,K
T1—1级吸气温度,K
n—转速,r/min
Zj、Z1—j级、1级空气的可压缩性气体常数
公式(13)揭示了这样一个道理:沿着压缩机气流通道通过每一个截面的单位时间内的排气量是相等的,这里的排气量约定为换算到一级吸气口状态下。还表明:每一级工作气缸的前后管道截面对应其该级的吸气量和排气量,该吸气量与排气量的比值恒等于该级的排气系数的倒数。对一级来说吸气量大于排气量。另外,通过每一截面的排气量都相等的原则不光适用于稳态,在压缩机升压过程中的任一暂态也是适用的。
本例一级活塞工作面有两个圆环面,分别为φ140-φ87、φ140-φ44。设一级活塞总工作面积为1,那么Ⅰ-Ⅱ级活塞与Ⅰ-Ⅲ级活塞上的其一级工作面积之比约为0.41:0.59,详见表格2图。级气缸直径的计算公式为:


上三式中,Fs1—1级活塞总工作面积,m2
d2杆、d3杆—单作用级差式结构上2、3级活塞杆直径,m
zj—j级同名气缸的个数
表格2图第三段第一行说明,两个圆环工作面相当于在一个圆直径为φ172.3气缸内工作,其数值的上方也利用了公式(14)、(15)计算出实际一级气缸为两个直径为φ140的气缸。表格2图的右上方给出了一级气缸直径的反运算。
气缸因圆整导致名义压力比重新分布,其计算规则如下:首先算出各级圆整后与圆整前的活塞面积之比值,该比值依次为k1、k2、k3;其次是让首尾即一级进与三级排系数固定为1,一级排、二级进系数用
来赋值,二级排、三级进系数用
来赋值;然后用这些系数与其对应的复算后的名义压力值作乘法运算即得出,此处不罗列公式了。
综上1节到3节的数据,这些数据的得出,反映设计者对压缩机的功能特性的驾驭程度,但每一项数据的得出更需要某个零件或某一组部件来支撑,这就涉及到压缩机的结构设计了。
<注:本文未完待续,更多精彩见下期!>
参考文献
1.林梅、孙嗣莹,活塞式压缩机原理,[M],西安交通大学,2006年12月
2.陈永江,容积式压缩机原理与结构设计,[M],西安交通大学,1985年7月
3.陆鹏程,舌簧阀设计概论(上、下),[J],《压缩机》,西安,2014年
4.郁永章等,容积式压缩机技术手册,[M],机械工业出版社,北京,2000年
5.陆鹏程,李中生,空压机中单向排气阀的研究,[J],流体传动与控制,2008年3期
作者简介
陆鹏程,安徽工程大学1997年本科毕业。现在中国人民解放军第四八一二工厂,安徽华晶机械有限公司工作,高级工程师。截至到2025年,已在《压缩机》杂志上发表过约16篇原创性论文。研究方向:压缩机研究与强度设计。
以上为正文!
买空压机网部分新闻素材来源于各大品牌公众号和压缩机网(www.compressor.cn).
压缩机网作为行业内最早的平台型网站.一直为空压机行业的发展而努力.
在此致以敬意. 希望有机会能一起合作.为用户提供最优质的行业资讯.